- 技术文章
拉曼光谱:Tb3+掺杂钒磷酸盐中蓝绿发光的调节及发光机制解析
2024-10-12 15:56:06 来源:北京先锋泰坦科技有限公司
镧系(Ln3+ )稀土发光材料具备优异的光物理特性,在照明、显示、安全防伪、辐射探测等领域具有广泛应用。Tb3+在VUV/ UV 光激发下可产生蓝、绿光,选择合适的基质并调节掺杂Tb3+ 浓度,有望在同一材料体系中实现从蓝光到绿光的系列调控。Tb3+发光调控对开发面向白光LED 的照明材料及光学防伪材料均有一定研究意义。
天津城建大学张守超副教授及其团队选择YVO4 与YPO4 作为基质,研究Tb3+ 在钒磷酸盐体系中的发光规律及基质组分对发光性能影响,可以深入理解此类发光材料的发光机制和性能优化途径,改善发光材料性能,从而更好地满足实际应用的需求。
结果与讨论
物相分析
作者采用热重-差示扫描量热法分析YVO4 与YPO4及按化学计量配比混合物高温固相反应温度(图1),结果表明665℃应Tb3+取代Y3+起始反应, 高于1087℃质量趋于稳定。利用XBD图谱表征荧光粉物相结构(图2)。采用扫描电子显微镜(SEM)分析不同产物的形貌 (图3),相较于YVO4 与YPO4基质,YV1-xPxO4结晶形貌一致,四方晶系特征显著,表明YVO4、YPO4二者具有良好的高温互溶性。
图1 YVO4 与YPO4 (a)、YVO4∶Tb3+(b)、YPO4∶Tb3+ (c)及YV0.5P0.5O4∶Tb3+(d)的TG-DSC 曲线
图2 样品的XRD 图谱。(a) YVO4∶Tb3+ ;(b) YVO4∶Tb3+;(c)YV1-xPxO4∶Tb3+;(d) YV1-xPxO4∶Tb3+ (200)晶面衍射峰
图3 YVO4∶Tb3+ (a)、YPO4∶Tb3+ (b)及YV1-xPxO4∶Tb3+ (c)的SEM 照片
吸收光谱及能带分析
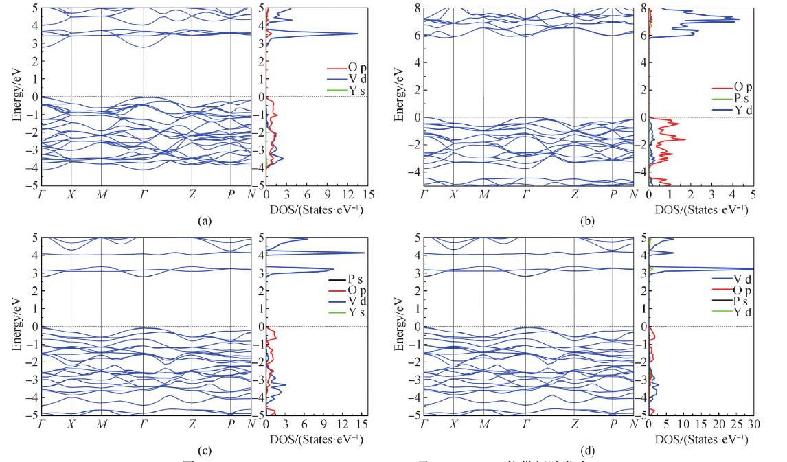
为研究YVO4、YPO4带隙分布,本文采用*一性原理方法计算了YVO4、YPO4体相的电子结构性质,图4为理论计算的能带分布。YVO4、YPO4带隙理论计算值分别为2.769和5.882eV。采用吸收光谱分析能带情况,结果表明Tb3+掺杂浓度高于一定值时,吸收带边发生红移。
图4 YVO4 (a)、YPO4(b)、Y2VPO8 (c)及Y2PVO8(d)能带间隙分布
图5 YVO4∶Tb3+ (a) YPO4∶Tb3+ (b)、及YV1-xPxO4∶Tb3+(c)的吸收光谱
声子能量分布
为分析样品声子能量分布,采用北京卓立汉光仪器有限公司生产的 Finder 930全自动激光显微共聚焦拉曼光谱仪测试了荧光粉样品的拉曼光谱(图6), YVO4、YPO4的原胞均在布里渊区中心产生12个拉曼活性声子分支,具有相同振动模式, YV1-xPxO4中振动频率在998 cm-1 的散射峰对应YPO4 的A1g (2)特征峰,其余可辨散射峰均为YVO4的特征峰。YVO4的Eg (2)、B2g、A1g(1)和A1g(2)四个内模散射峰位随V:P比例增加向低波数方向移动,如图6(b)所示,表明VO4四面体中V—O平均键长随V含量增加而变长,V—O键振动频率降低,特征峰形向高波数呈现非对称性展宽源于声子限制效应, YV1-xPxO4晶格完整性及平移对称性较YVO4 有所降低,参与拉曼散射声子数量增加,谱峰出现拖尾展宽现象。YPO4及不同P:V =比例YV1-xPxO4的拉曼散射如图6(c)所示,左上插图为YPO4在120 ~900cm-1 拉曼散射放大图。图中除B1g(2)外,YPO4其余11个征散射峰全部观测到。YPO4中399 和705cm-1 处非特征的拉曼散射峰,可能是因为局域晶格畸变产生了非本征YPO4的拉曼散射。YPO4中大于1200cm-1高能声子可能涉及到更高一级的拉曼散射效应。YV1-xPxO4中VO4四面体内模振动显著,P:V为5:1时,VO4四面体内模振动影响依然存在,频率低于900 cm-1,依然难以分辨YPO4内模振动。YPO4高频内模振动A1g(2)、B1g(4)随P:V变化如图6(d)所示,表明PO4四面体中P—O平均键长随P含量增加而变短,P—O键振动频率增加。综上,YVO4 的拉曼频谱分布不均匀,*大声子能量集中在815~890cm-1、500~800cm-1。YPO4一阶拉曼频谱分布较为均匀,内模振动声子能量接近。调整V:P比例,一定范围内可有效调控YV1-xPxO4声子能量分布,从而调整材料的无辐射弛豫速率。
图6 YVO4、YPO4及YV1-xPxO4的Raman 光谱。(a) YVO4和YV1-xPxO4 ;(b)YVO4部分特征振动谱频率随V:P比例的移动;(c)YPO4 及YV1-xPxO4 ;(d)YPO4部分特征振动谱频率随P:V比例的移动。
采用北京卓立汉光仪器有限公司自住研制的 Omni Fluo 990瞬态稳态荧光光谱仪测试样品的光致发光谱及荧光寿命,图7为激发、发射光谱,YVO4:Tb3+ 激发光谱由220 ~350 nm 的激发带和峰值位于233、260、285 和322 nm 吸收峰构成。
图7(b)表明YVO4本征发光为蓝光,发光中心位于433 nm 处,对应于VO43- 激发态3T2→1A1和3T1→1A1跃迁。YVO4:Tb3+射光谱包含VO43-本征发光带和Tb3+的5D3→7F6(373 nm)、5D3→7F4 (428 nm)、5D3→7F2 (468 nm)及5D43→7F5 (545 nm)跃迁发光, Tb3+发光以5D3发光为主。图7c表明P元素比例增加,VO43- 的电荷迁移跃迁吸收带消失, Tb3+的基态7F到激发态7D的f-d 跃迁占据主导。图5d表明随P元素增加,发射光谱呈现由蓝到绿转变,表明基质组分对Tb3+发光具有一定调控作用。图7(f)插图展现了掺杂浓度对发光的调节作用,随Tb3+掺杂浓度增加,发光由青光变为绿光。
图7 YVO4:Tb3+, YV1-xPxO4:Tb3+和YPO4:Tb3+的激发、发射光谱
图8 5D3→7F6和的5D4→7F5发光相对强度随基质组分(a)、掺杂浓度变化(b)
分析发光机理,测试了223 nm 激发下荧光粉的荧光衰减曲线,如图9 所示。计算了有效寿命τ,得到YVO4:Tb3+荧光寿命约为83 μs,掺杂浓度对荧光寿命影响较小,V元素占比高于P元素,发光以5D3→7F6能级跃迁发光为主,荧光寿命约为94μs; 当P元素占比高于V元素, 5D3→7F6能级跃迁发光减弱甚至消失, 5D4→7FJ能级跃迁发光增强,随P:V由1:1增至5:1,荧光寿命随P元素含量增大而增加,从0.53 ms 增加至0.88 ms。YPO4: 5D4中随Tb3+浓度增加,5D3蓝光发射比例减小,5D4绿光发射比例增加,材料发光呈现由青光向绿光的变化。5D4→7F5荧光衰减曲线随Tb3+浓度的变化情况如图9(d)所示。掺杂浓度由0. 5% 增加至6.0%, Tb3+间距离缩短,更多电子通过该通道被布居到5D4能级电子数目增多,荧光寿命从4.44 ms 降至3.45 ms。发光机理如图10所示。调节YVO4和YPO4基质组分及5D4掺杂浓度,通过无辐射跃迁、MPR 和CR多过程作用,可以改变Tb3+掺杂钒磷酸盐发光色度,实现由蓝到绿的发光调节。
图9 YVO4:Tb3+ (a)和YV1-xPxO4:Tb3+ (b)在373nm发射波长监测下荧光衰减曲线, YV1-xPxO4:Tb3+ (c)和YV1-xPxO4:Tb3+ (d)在545 nm 发射波长监测下荧光衰减曲线
图10 荧光粉发光机理
作者简介
张守超,天津城建大学副教授,主要从事无机发光材料、材料辐照效应等方面研究,在晶体测温方面有一定研究成果。主持包括军科委基础加强重点基础研究项目课题等8项,相关科研成果已在军工方面取得实际应用。
相关产品推荐
本研究的拉曼光谱采用Finder 930全自动化拉曼光谱分析系统,如需了解该产品,欢迎咨询。
本研究的光致发光谱及荧光寿命采用Omni Fluo 990瞬态稳态荧光光谱仪测试,如需了解该产品,欢迎咨询。
免责声明
北京卓立汉光仪器有限公司公众号所发布内容(含图片)来源于原作者提供或原文授权转载。文章版权、数据及所述观点归原作者原出处所有,北京卓立汉光仪器有限公司发布及转载目的在于传递更多信息及用于网络分享。
如果您认为本文存在侵权之处,请与我们联系,会*一时间及时处理。我们力求数据严谨准确,如有任何疑问,敬请读者不吝赐教。我们也热忱欢迎您投稿并发表您的观点和见解。
扫一扫,手机浏览























